Pedro deseja encher 3 canecas de 500 mL de uma mesa com chopp usando um balde de 5L. Para fazer isso, ele enche o balde com 5L de chopp em um barril e leva até a mesa, enchendo as canecas. Porém, Pedro está bêbado e, sempre que volta do barril até sua mesa, perde uma quantidade aleatória de chopp com distribuição uniforme sobre a capacidade do balde. Ele, então, preenche as canecas com o que houver de chopp no balde (pode preencher mais de uma caneca com o chopp do balde). Por isso, pode ser necessário que Pedro faça mais de uma viagem até ter todas as canecas cheias.
Parabéns a todos que se desafiaram a solucionar o Giant Puzzle #2! Recebemos mais de 150 respostas ao longo dos 2 meses que o desafio ficou no ar.
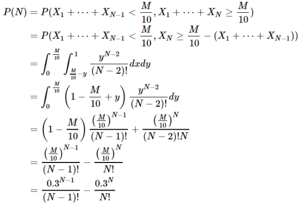
A) Qual a probabilidade de Pedro encher as canecas em sua N-ésima viagem?
A soma de N variáveis uniformes possui a distribuição de Irwin-Hall, de forma que a função densidade de probabilidade vale x^(n-1)/(n-1)! se 0 ≤ x ≤ 1. Assim, a probabilidade de encher M canecas em N viagens, com M ≤ 10, vale:

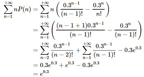
B) Em média, quantas viagens Pedro deve fazer para encher as 3 canecas?
Usando a resposta do item anterior e a expansão em série de Taylor da função exponencial, temos que o valor esperado para encher 3 canecas vale:

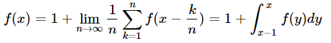
C) Quantas viagens Pedro deveria fazer, em média, para encher N canecas de chopp, sendo N um número natural qualquer?
De forma geral, para N ≤ 10, a resposta do item anterior vale e^(N/10). Já para o caso N > 10, chamando N/10 = x e o valor esperado de viagens pedido de f(x) podemos construir a seguinte equação de recorrência:

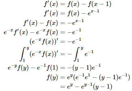
Derivando a expressão acima e substituindo o valor f(x-1) = e^(x-1) para 1 ≤ x ≤ 2, temos:

A resposta acima é válida para 1 ≤ y ≤ 2, pois é este o intervalo no qual o valor substituído para f(x-1) é válido. De forma geral, temos:

Este resultado pode ser provado por indução utilizando-se a expressão acima de forma análoga ao resultado anterior. Vale ressaltar que o resultado do item b também pode ser encontrado utilizando-se uma expressão de recorrência semelhante à exibida acima.