O trabalho pioneiro de Markowitz (1959) popularizou o uso do termo “diversificação” na indústria de investimentos. Entretanto, esse termo é geralmente usado de maneira informal e seu significado nem sempre é claro. No modelo proposto por Markowitz, o risco dos ativos na carteira é medidos pela matriz de covariância, de modo que diversificar a carteira significa balancear risco e retornos esperados dos ativos. Apesar de ser poderoso, este método é notório por gerar portfólios extremamente sensíveis aos parâmetros de entrada e pouco diversificados. Essas características, paradoxalmente, se chocam com as ideias de Markowitz; as alocações resultantes frequentemente excluem completamente algumas classes de ativos do universo de investimento e dão peso extremo para outros.
Nos últimos anos cresceu o interesse por métodos de alocação baseados na diversificação do risco da carteira, em particular uma estratégia conhecida como “risk parity” (em tradução livre: paridade de risco). O conceito por trás do risk parity é simples: a alocação é tal que cada ativo contribuí igual fatia de risco para a carteira (o que não necessariamente equivale a atribuir pesos iguais a cada ativo). Ao colocar risco como eixo central do processo de gestão e alocação, as estratégias de risk parity representam uma importante mudança de paradigma em relação teoria moderna de portfólios baseada, integralmente, em otimização de média-variância.
Métodos de alocação baseados em risco são parte de uma ampla família de estratégias. Como característica fundamental, as carteiras obtidas a partir desta família são obtidas sem a necessidade de incluir retorno dos ativos, o que reduz espaço para erros de estimação de parâmetros. Outra diferença importante entre estratégias baseadas em risco e o modelo clássico de média- variância, é que as primeiras produzem uma solução de alocação única, qualquer que seja a apetite por risco do investidor. Assim para se atingir o nível de risco desejado, é necessário ajustar o nível de alavancagem da estratégia.
Redefinindo Diversificação
Medir risco é apenas o primeiro passo para a gestão de carteiras baseadas em risco, onde é possível utilizar medidas coerentes de risco como CVaR (Conditional Value at Risk) ou variância. A segunda etapa consiste em decompor o portfólio na soma das contribuições de risco (CR_i) de cada ativo .
É importante observar que o conceito de contribuição marginal de risco é fundamental para encontrar a composição da carteira em relação à seus ativos, além de compreender seu perfil de risco. No nosso exemplo, utilizaremos a variância como medida de risco¹. Definimos a contribuição marginal de risco para um determinado ativo i como a taxa de crescimento do risco do portfólio a medida que a alocação w_i cresce, onde Σ é a matriz de covariâncias e w é o vetor de alocações da carteira:

Logo, a contribuição de risco, CR_i, atribuída a um determinado ativo i é definida como:

Por definição, a soma das contribuições de risco de cada ativo é igual ao risco total da carteira – no nosso exemplo, a variância σ(w) . Além disso, a carteira baseada em paridade de risco é caracterizada pela igual contribuição de risco de cada ativo. Utilizando a medida risco do nosso exemplo, onde A é o conjunto de ativos selecionados para compor a carteira:

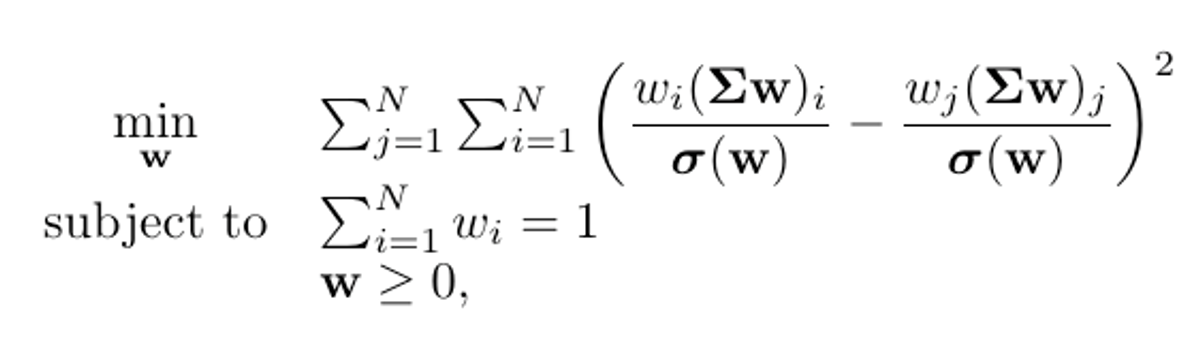
Para formalizar matematicamente os conceitos apresentados, derivamos o problema de alocação sob a perspectiva de paridade de risco com restrições de long-only:

Apesar de portfólios sob paridade de risco possuírem características que intuitivamente são facilmente compreendidas, devido a não convexidade da função objetivo do problema, valores ótimos para as alocações w são difíceis de encontrar sob o ponto de vista computacional. Além disso, as extensões para outras medidas de risco são viáveis (e.g. CVaR), no entanto, demanda um maior custo computacional.
Estudo de Caso
As duas metodologias de alocação são diferentes, e sua comparação direta pode levar a indução de conclusões equivocadas. Enquanto Markowitz otimiza o equilíbrio entre risco e retorno, modelos baseados em paridade de risco visam apenas este lado da carteira.
No nosso exemplo, controlamos ambos os métodos pela volatilidade, restringindo os modelos a uma meta de 10.0% a.a. em todo período estudado. Além disso, não é permitida a utilização de alavancagem ou posições vendidas. O objetivo desse exemplo não é apenas analisar o retorno acumulado, mas também verificar o comportamento das alocações e a relação entre risco e retorno das estratégias. Valores de entrada foram estimados considerando dados dos últimos 24 meses.
Simulamos carteiras que alocam em cinco classes de ativos: Ibovespa, títulos de renda fixa pré-fixados com duração fixa de dois anos (IDkA Pré – 2A), títulos indexados a inflação com duração fixa de três anos (IDkA IPCA – 3A), dólar futuro e títulos pós-fixados. As carteiras eram recalibradas mensalmente, no período de janeiro de 2008 a dezembro de 2013.


Nas figuras 1 e 2, observamos que as alocações com risk-parity evoluem lentamente para acompanhar as mudanças na volatilidade dos ativos e correlações entre os mesmos. Por outro lado, a carteira ótima do modelo de Markowitz é bastante concentrada e depende em grande parte de quais classes de ativos obtiveram o melhor desempenho nos últimos dois anos. Note, porém, que a carteira de risk-parity diminui sua alocação IBOV durante os anos da crise de 2008, voltando a investir quando o índice volta a crescer. Da mesma forma, a exposição nos ativos vinculados à taxa de juros tende a oscilar com a volatilidade.
A intuição desses resultados é que a abordagem risk-parity aumenta as alocações em um determinado ativo quando a sua volatilidade e correlações com outros ativos começam a diminuir. Alguns críticos dessa metodologia, observam a tendência de “comprar na alta e vender baixa” como uma razão para evitar a estratégia. No entanto, outros investidores argumentam que volatilidade em declínio é geralmente acompanhada de retornos positivos, de modo que os pesos da carteira inclinam em direção aos ativos que apresentam uma melhoria no desempenho.

Comparando os métodos, observamos que a abordagem risk-parity apresenta uma menor volatilidade (12,82 % vs 10,56 % a.a.) e mais próxima da meta exigida no período. Na figura 3, vemos que o modelo baseado em risco obteve performance e um índice de Sharpe inferior quando comparado ao de Markowitz. Concluímos que a abordagem de risk-parity busca criar a melhor carteira para diferentes condições de mercado, com um nível razoável de conservadorismo. Na janela analisada, observamos que a estratégia de risk-parity obtém uma performance pior que Markowitz. No entanto, por se tratar de uma estratégia bastante promissora, continuaremos monitorando a performance e testaremos com outras medidas de risco e com possibilidade de alavancagem.
